岭南师范学院2025年提前批本科教师专项计划投档录取分数线
- 发布日期:2025-07-20 01:26 点击次数:185
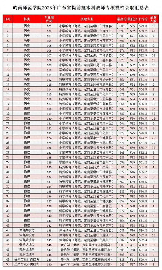
广东省2025年本科提前批教师专项计划于7月12-13日正式投档。我校2025年公费定向师范生报考热度持续攀升,录取分数全线飘红,生源质量再创新高。其中普通批物理历史类考生最高分双双超600分;物理类最低排位较去年提升约1.5万名;历史类最低排位较去年提升约6千名;艺体类各招生专业最低排位均有不同幅度提升。我校的公费定向师范生投档情况具体如下:普通类(历史)计划118人,投档118人,录取118人,录取最高分601分,特殊类型招生录取控制线上113人,录取最低分550分;普通类(物理)计划254人,投档254人,录取254人,录取最高分604分,特殊类型招生录取控制线上254人,录取最低分546分。体育类计划30人,投档30人,录取30人,最高投档分592分,最低投档分576分;美术类计划20人,投档20人,录取20人,最高投档分541分,最低投档分511分;音乐类计划20人,投档20人,录取20人,最高投档分509分,最低投档分491分。广东教师专项计划实行“分数优先”原则投档,根据学校招生章程的录取原则,提前批教师专项计划普通类专业按考生投档总分排位情况从高到低录取。各专业投档录取详情见下表。

相关资讯
